- Revision en Mathématique: Forme algébrique (3) -

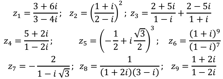
Mettre sous la forme a + bi; a, b ∈ R (forme algébrique) les nombres complexes


 


Mettre sous la forme a + bi; a, b ∈ R (forme algébrique) les nombres complexes


 



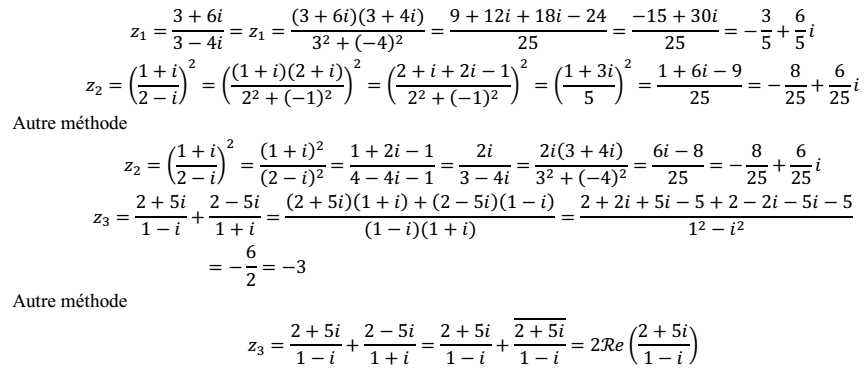
-3
(0 point)

1
(0 point)

2
(0 point)

TRAITE