- Revision en Mathématique: Module et argument -

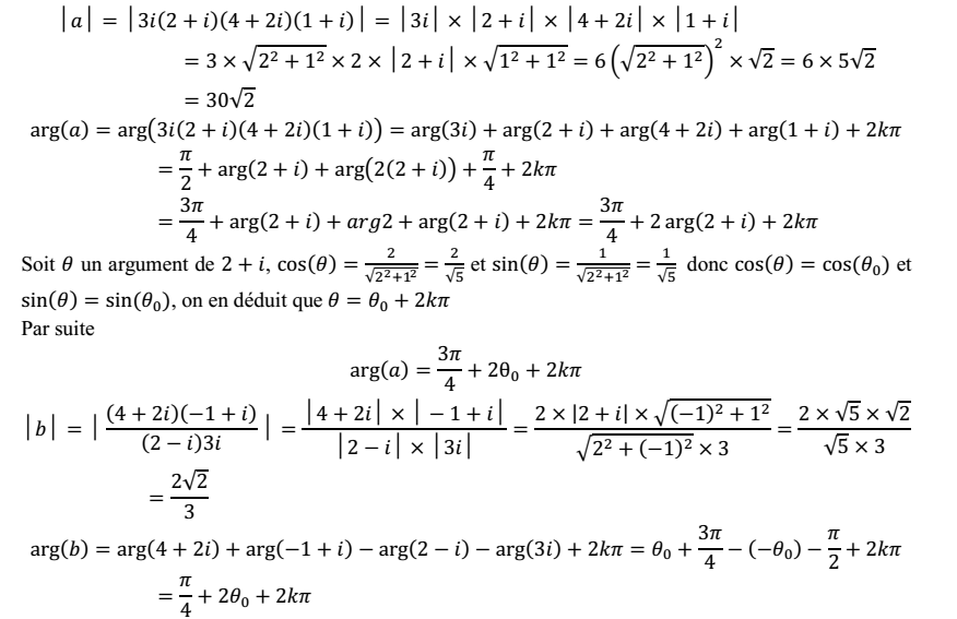
On donne un réel tel que :
cos()= et sin()=.
Calculer le module et l'argument des nombres complexes a et b (en fonction de ) :

 


On donne un réel tel que :
cos()= et sin()=.
Calculer le module et l'argument des nombres complexes a et b (en fonction de ) :

 



30
(0 point)

2
(0 point)

TRAITE