Toggle navigation
Sciences Mathématiques
11ème Année
11ème Année
1 Anglais
2 Chimie
3 Economie
4 Français
5 Géographie
6 Histoire
7 Mathématique
8 Philosophie
9 Physique
12ème Année
12ème Année
1 Anglais
2 Chimie
3 Economie
4 Français
5 Géographie
6 Histoire
7 Mathématique
8 Philosophie
9 Physique
Terminale
Terminale
1 Anglais
2 Chimie
3 Economie
4 Français
5 Histoire
6 Mathématique
7 Philosophie
8 Physique
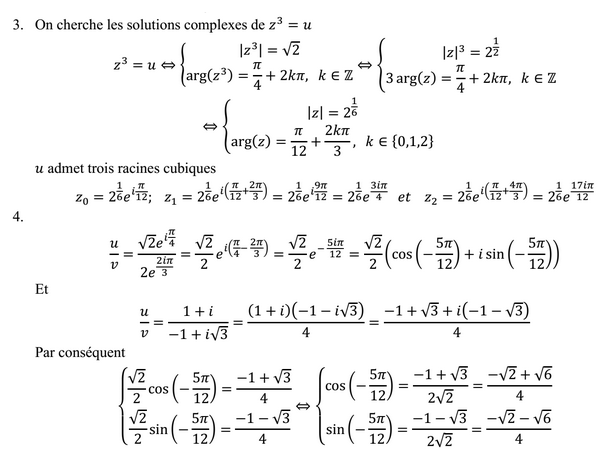
- Revision en Mathématique: Calcul de puissance -
Question N°1 (code 147):
|u| = √...
2
(0 point)
Question N°2 (code 148):
|v| = ...
2
(0 point)
TRAITE